引言:

2025 年 11 月,全球 DDoS 攻击态势依旧呈现出高频、分布广、攻击方式复杂化等特点。随着攻击资源不断扩张、自动化武器库持续演进, 各行业业务系统在面对突发性高流量冲击时愈发显得脆弱。为帮助客户及时掌握本月攻击趋势与威胁变化,傲盾对全国及海外多个区域的 DDoS 攻击数据进行了系统统计与深入分析, 并对攻击类型、规模、来源以及清洗系统的实际防御表现进行了全面呈现。

本月,华东、华中、华北、香港、北美等重点区域均出现大量攻击行为,其中不乏规模超过百Gbps 乃至 Tb 级的高强度攻击。攻击类型覆盖  SYN Flood、UDP Flood、ACK&RST Flood、ICMP Flood 等多种主流方式,部分区域攻击持续时间显著拉长,呈现出明显的混合型、多阶段化特征。

面对快速变化的攻击生态,傲盾持续优化智能识别与自动化防御能力,确保清洗系统在高压态势下依旧能够稳定运行,实现快速处置、精准过滤与实时调度。 通过本报告,希望为客户提供清晰的攻击态势认知、可量化的数据参考,以及未来安全策略优化的方向建议,从而更好地保障业务的连续性与稳定性。

本月攻击概况

华东区域

01攻击情况

►攻击总次数106,403次
►平均单次攻击时长126秒
►单次最大攻击流量926.70 Gbps(发生于 2025-10-27 16:10至16:20时段)

( 清洗系统以 10 分钟为一个统计周期,对输入流量进行监测和记录。在每个周期内,系统会分别提取 过滤前总流量 以及 SYN、ACK&RST、UDP、ICMP、OTHER  等各类流量的峰值作为该周期的统计结果。由于不同类型流量的峰值出现时间点往往并不一致,因此在结果展示中,“输入滤前总流量” 通常小于各类流量峰值的简单加和。 后续不再重复说明。)

02TOP攻击类型占比

►单次攻击流量超过100G 本月计 4,741次

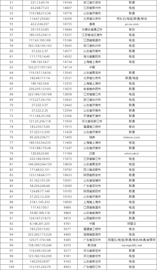
03TOP100攻击源

免责声明:因 IP 地理位置数据库存在更新延迟,报告中显示的属地和运营商信息仅供参考。鉴于 DDoS 攻击流量中可能存在虚假源 IP, 如您将下列攻击源信息应用于网络安全设备策略,由此产生的误判或误拦后果,傲盾软件概不承担相关责任。

华中区域

01攻击情况

►攻击总次数276,897次
►平均单次攻击时长119秒
►单次最大攻击流量 1.27 Tbps(发生于 2025-11-16 03:50至03:00时段)

02TOP攻击类型占比

►单次攻击流量超过100G 本月计 30,663次

03TOP100攻击源

免责声明:因 IP 地理位置数据库存在更新延迟,报告中显示的属地和运营商信息仅供参考。鉴于 DDoS 攻击流量中可能存在虚假源 IP, 如您将下列攻击源信息应用于网络安全设备策略,由此产生的误判或误拦后果,傲盾软件概不承担相关责任。

华北区域

01攻击情况

►攻击总次数1,059,456次
►平均单次攻击时长 55秒
►联通方向:单次最大攻击流量为292.70 Gbps(发生于2025-10-27 20:50至21:00时段)

►电信方向:单次最大攻击流量为380.24 Gbps(发生于2025-11-15 11:50至12:00时段)

►移动方向:单次最大攻击流量为298.03 Gbps(发生于 2025-10-29 13:50 至 14:00时段)

02TOP攻击类型占比

►单次100G以上攻击次数统计678次

03TOP100攻击源

免责声明:因 IP 地理位置数据库存在更新延迟,报告中显示的属地和运营商信息仅供参考。鉴于 DDoS 攻击流量中可能存在虚假源 IP, 如您将下列攻击源信息应用于网络安全设备策略,由此产生的误判或误拦后果,傲盾软件概不承担相关责任。

香港区域

01攻击情况

►攻击总次数191,408次
►平均单次攻击时长316秒
►单次最大攻击流量105.18 Gbps(发生于 2025-11-22 09:90至10:00时段)

02TOP攻击类型占比

►单次100G以上攻击次数统计14次

03TOP100攻击源

免责声明:因 IP 地理位置数据库存在更新延迟,报告中显示的属地和运营商信息仅供参考。鉴于 DDoS 攻击流量中可能存在虚假源 IP, 如您将下列攻击源信息应用于网络安全设备策略,由此产生的误判或误拦后果,傲盾软件概不承担相关责任。

北美区域

01攻击情况

►攻击总次数 261,318次
►平均单次攻击时长59秒
►单次最大攻击流量829.06 Gbps(发生于 2025-10-25 23:50至2025-10-26 00:00时段)

02TOP攻击类型占比

►单次攻击流量超过100G 本月计 3,813次

03TOP100攻击源

免责声明:因 IP 地理位置数据库存在更新延迟,报告中显示的属地和运营商信息仅供参考。鉴于 DDoS 攻击流量中可能存在虚假源 IP, 如您将下列攻击源信息应用于网络安全设备策略,由此产生的误判或误拦后果,傲盾软件概不承担相关责任。

攻击概况分析

根据 2025 年 11 月傲盾清洗系统对全国及海外多区域的监测数据,本月整体 DDoS 攻击态势仍保持在高位,呈现出高频率、多类型并发以及区域差异显著的特点。 从全量数据来看,本月攻击规模分布如下:

华东区域——攻击总次数达 106,403 次,平均攻击时长 126 秒,最大攻击峰值达到 926.70 Gbps。攻击强度呈现周期性波动, 百 G 以上攻击出现 4,741 次,占比明显偏高。

华中区域——为本月全国攻击最为集中的区域,总攻击次数 276,897 次,最大攻击峰值达到 1.27 Tbps,是全月最强的一次 Tbps  级大规模攻击,且高频攻击现象突出,百 G 以上攻击次数高达 30,663 次。

华北地区——总攻击次数 1,059,456 次,在全国区域中最高,但平均攻击时长相对较短,为 55 秒。三大运营商方向均受到大流量冲击, 其中电信方向最大流量达 380.24 Gbps。

香港区域——虽然攻击次数 191,408 次,但平均单次攻击持续时间显著更长(316 秒),呈现出“低峰值、长时耗”攻击特征,属于持续压制型攻击行为。

北美区域——攻击总次数 261,318 次,峰值达到 829.06 Gbps。攻击来源呈现明显全球化特征,亦包含大量云厂商节点、CDN 节点及公共 DNS 的异常流量。

总体来看,本月攻击呈现以下几个显著特点:

• 攻击规模继续扩张:≥100Gbps 的大流量攻击在多个区域中均呈现高频现象,Tbps 级攻击在持续出现。

• 混合攻击明显增多:SYN、ACK&RST、UDP、ICMP等攻击方式组合使用比例提高,对防御系统的实时识别能力需求不断上升。

• 攻击来源更加离散:多个区域的 TOP100 攻击源覆盖“全球运营商 + 云节点 + 海外小型 ISP”,来源追踪复杂度增加。

• 区域差异明显:华北以高次数短时攻击为主,华中以超大流量攻击领跑,全国攻击压力结构呈现多样化特征。

防御技术与成效

• 智能检测引擎持续演进

十一月期间,傲盾进一步升级了智能检测体系,为应对更加复杂的攻击模式提供了更强的算法支撑。系统正式上线SYN引擎配置模块与SYNACK引擎配置模块, 可对握手阶段的异常行为进行更细粒度识别,从协议层面强化对异常连接建立过程的监控能力。同时,傲盾在持续对攻击数据进行分析后,新增了扫段防御模块。 该模块能够针对特定区段扫描类攻击进行实时检测与拦截,有效降低大规模地址遍历与探测行为带来的安全风险。随着这些引擎级能力的加入,系统在识别深度、 响应速度以及策略精准度方面进一步提升,为应对十一月多样化攻击形态提供了坚实保障。

• 自适应防护体系全面增强

本月攻击形式呈现高度灵活化特征,傲盾系统的自适应防护体系发挥了关键作用。根据实时流量脉冲、协议结构变化及攻击策略切换,系统可自动完成策略升级、 阈值调整与流量过滤方式的重组。这种全自动、场景化的策略调度机制,使系统能够在复杂攻防环境中保持高弹性防护效果,有效保障业务流量的稳定性与连续性。

• 事件响应自动化与服务恢复能力提升

傲盾持续强化对攻击事件的处置效率,通过自动化响应机制实现从“检测—拦截—记录—恢复”的完整闭环。一旦异常流量触发防护链路,系统会立即进行行为分析与精准阻断, 并同步生成可追踪的事件信息。在攻击结束后,系统可自动回退临时策略、恢复正常网络路径,减少人工操作成本,确保在复杂攻击间歇期仍能保持稳定的业务承载能力。

• 技术创新成果

为进一步提升系统的可观测性、易维护性与整体稳定性,傲盾在十一月对多项创新技术进行了落地与升级。本月系统的流量日志模块完成了全面优化, 日志记录的精细程度显著提升,可对协议特征、行为模式、攻击链路等信息进行更细粒度展示,便于管理人员快速定位风险点并开展更精准的安全分析。 与此同时,傲盾上线了全新的 在线升级模块,支持多节点的 批量升级,并通过升级链路优化大幅缩短升级耗时,使系统在保障业务不中断的前提下, 能够更快速地完成版本发布与策略更新,提高整体运维效率。此外,系统新增了 硬件告警模块,可对设备运行状态进行实时监测,涵盖 CPU、内存、存储、接口状态、 温度等多项关键硬件指标。一旦出现异常,系统会立即触发告警,协助运维人员在第一时间采取措施,确保清洗设备在高压场景下依然保持稳定、可靠运行。

通过以上创新能力的持续迭代,傲盾在检测精度、运维便利性和系统可靠性方面实现了全面增强,为用户提供更高质量、更高安全等级的网络防护服务。


返回首页>>